即可将网页分享至朋友圈
近日,物理学院、电子薄膜与集成器件全国重点实验室严鹏教授团队在磁学与自旋电子学领域取得重要进展,通过研究交替磁体中磁子的动力学特性,发现了由磁偶极作用诱导的手性磁子间的强耦合效应,为基于交替磁体的量子磁子信息处理开辟了新路径。该理论研究结果以“Strong Coupling of Chiral Magnons in Altermagnets”为题,发表在《Physical Review Letters》。电子科技大学为论文唯一完成单位,物理学院博士后金哲珺雨为论文第一作者,严鹏教授为通讯作者。

磁子 (自旋波的量子) 因长寿命、高可调等优势,在传感、计算等方面备受学术界关注,其与量子比特、声子、光子等平台的兼容性持续推动着量子磁子学的发展,而有效的磁子-磁子耦合是磁子电路量子信息传递的关键。传统耦合来源包括磁偶极相互作用、层间交换、面内各向异性等。此外,一些非磁媒介,例如腔光子,也可以作为一个平台去间接地介导磁子之间的耦合。此前工作多聚焦于各向同性系统中的长波长磁子,例如通过层间交换作用实现层状反铁磁体中零波矢磁子的耦合,或通过磁偶极作用实现多层结构中小波矢磁子的耦合,但始终无法实现短波长磁子的本征各向异性耦合,而这种耦合是磁子电路定向控制的关键,是领域内长期未解决的挑战。在常规反铁磁体中,由于亚晶格磁化近乎完全抵消,磁偶极相互作用可忽略;即便施加外磁场诱导净磁化,也会破坏具有相反手性的磁子简并性,仅能使磁子能级轻微偏移,无法产生真正的磁子模式耦合,难以满足量子应用需求。
为此,研究团队将目光投向新兴的“交替磁体 (altermagnets, 亦称交错磁体)”。这类磁体打破时间反演对称性却无净磁化,兼具铁磁体与反铁磁体的中间特性,有望成为解决上述问题的新平台。

图1:d波交替磁体中磁偶极作用诱导的手性磁子强耦合示意图
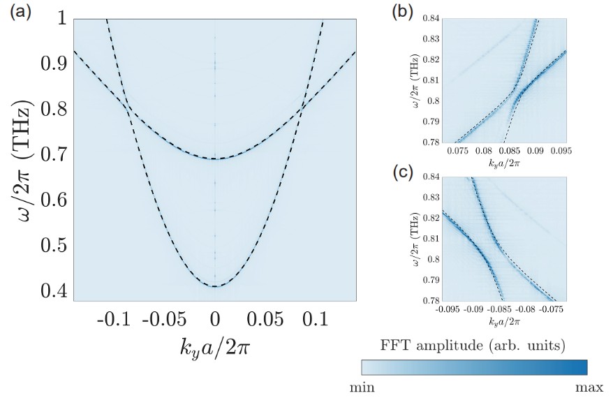
考虑d 波双层交替磁体模型 (图1),研究团队得到以下核心结果:无磁偶极作用时,交替磁体的磁子展现出独特的能级交叉行为:零外场下,右手性与左手性磁子仅在
点 (零波矢) 简并;施加面内外磁场后,简并点会从
点转移至有限波矢处,但保持能级交叉,并体现出明显的各向异性。引入磁偶极作用后,其会打破磁子的自旋角动量守恒,使具有相反手性的交换磁子发生耦合,在原本能级交叉的区域打开能隙,表现为“能级排斥”。其耦合强度约为磁子能量的百分之一,达到强耦合条件。此外,磁偶极作用诱导的磁子-子耦合具有显著的方向依赖性:仅当磁子传播方向落在特定窗口时,耦合才存在;通过 MUMAX3进行的全微磁模拟与理论推导结果完全吻合 (图2)。进一步的研究显示,能级排斥现象对 Gilbert 阻尼、高次非线性磁子过程、热涨落等干扰具有鲁棒性,证明了理论预测的实验可行性。

图2:微磁学模拟与线性自旋波理论 (虚线) 结果比较
该工作首次揭示了磁偶极作用在交替磁体中的独特作用:不同于常规反铁磁体中磁偶极作用的可忽略性,或铁磁体中磁偶极作用仅塑造磁子色散的特性,交替磁体中磁偶极作用能以“简并微扰”形式诱导相反手性磁子的强耦合,填补了“短波长磁子本征各向异性耦合”的研究空白,拓展了交替磁体的新奇物理现象版图,为量子磁子信息处理提供了新的思路。
本研究受国家重点研发计划,国家自然科学基金重点、面上项目,以及中国博士后科学基金的资助。
论文链接:
https://doi.org/10.1103/gn6c-1q19
编辑:刘瑶 / 审核:王晓刚 / 发布:陈伟