科研学术

集成电路学院功率集成技术实验室第8次斩获IEEE ISPSD发表论文数全球第一
2024-06-12
近日,第36届国际功率半导体器件与集成电路会议(ISPSD,The 36th International Symposium on Power Semiconductor Devices and ICs)在德国不莱梅召开,本次大会汇聚了来...
周涛教授团队在Nature Communications发文 揭示大学室友对成绩的影响
2024-06-07
近日,电子科技大学大数据研究中心周涛教授团队在《自然·通讯》(Nature Communications)上发表了题为“Heterogeneous peer effects of college roommates on academic per...
张小松教授入选首届“全国科创名匠”
2024-06-05
5月30日,在第8个“全国科技工作者日”到来之际,中国教科文卫体工会发布首届“全国科创名匠”选树宣传名单,电子科技大学计算机(网安)学院张小松教授因其在网络安全领域...
我校主办2024IEEE MTT-S微波声学与机械学国际会议(IC-MAM 2024)
2024-06-01
5月13日-15日,2024 IEEE MTT-S微波声学与机械学国际会议在成都举行。本届大会以“国际交流、高端合作、共赢发展”为主题,副校长胡皓全出席开幕式并致辞。IEEE MTT-S主席、...
学校成功举办第六届“博新计划”学术交流活动
2024-05-30
5月23日-25日,由全国博士后管委会办公室、中国博士后科学基金会、四川省人社厅指导,电子科技大学主办的第六届“博新计划”学术交流活动在成都举行。人社部专业技术人员管...
2024第三届雷达学报前沿论坛——雷达与对抗技术研讨会举行
2024-05-29
5月25日至27日,2024第三届雷达学报前沿论坛——雷达与对抗技术研讨会在成都举行,本次研讨会由北京信息技术研究所、雷达学报、我校信息与通信工程学院联合主办,中国航天科...
电子科技大学大型仪器设备开放共享圆桌会议召开
2024-05-29
5月23日,电子科技大学大型仪器设备开放共享圆桌会议在清水河校区召开,哈尔滨工业大学、西安交通大学、南京大学、南开大学、中国海洋大学等30余所高校及科研院所负责国有资...
2024-05-28
近日,电子科技大学计算机科学与工程学院(网络空间安全学院)算法与逻辑团队先后在LICS、CAV等计算机理论方向的CCF A类会议上发表一系列高水平研究成果,这是我校首次在LIC...
材料学院硕士生在化学TOP期刊Angew发表研究论文
2024-05-26
近日,材料与能源学院材料科学与工程专业2021级硕士研究生张智豪在化学领域Top期刊Angewandte Chemie International Edition上发表了题为“NbC Nanoparticles Decorated Car...
四川省高校分析测试联盟正式成立
2024-05-26
近日,四川省高校分析测试联盟成立仪式及相关研讨会在电子科技大学清水河校区顺利举行。电子科技大学、西南交通大学等六所高校成为首批四川省高校分析测试联盟联盟成员。该...
学校举办2024年国产科学仪器进高校活动暨首届全国仪器设备维修维护培训会
2024-05-24
5月23日-24日,由国家科技资源共享服务工程技术研究中心、中关村国基条件科技资源共享服务创新联盟指导,电子科技大学、四川省分析测试学会主办的2024年国产科学仪器进高校...
医学院神经内科/神经病学研究所团队在《新英格兰医学杂志》发表最新研究成果
2024-05-24
5月16日,电子科技大学医学院、电子科技大学附属医院·四川省人民医院神经内科/神经病学研究所杨杰教授团队在脑出血强化降压研究方面取得突破,研究成果以“Intensive Ambula...
计算机(网安)学院商烁教授团队研究生连续在人工智能顶会发表论文
2024-05-22
近日,我校计算机科学与工程学院(网络空间安全学院)时空大数据与智能团队2022级研究生王辰昊、邓诗涵、徐伟恺、孟飞宇在数据挖掘顶级会议KDD 2024和自然语言处理顶级会议A...
《电子科技大学学报》第八届编委会第一次会议暨创刊六十五周年期刊建设研讨会举行
2024-05-16
5月14日,《电子科技大学学报》第八届编委会第一次会议暨创刊六十五周年期刊建设研讨会举行,副校长胡皓全、学报主编邓龙江院士、编委会主任蒋亚东教授、副主任王厚军教授、...
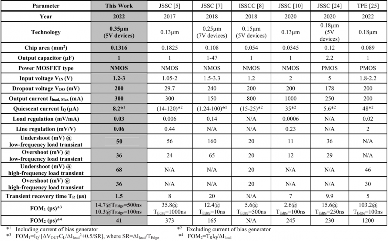
集成电路学院明鑫教授在集成电路领域顶级期刊JSSC发表线性电源LDO研究成果
2024-05-16
近日,集成电路科学与工程学院功率集成技术实验室明鑫教授研究小组在集成电路领域顶级期刊《IEEE Journal of Solid-State Circuits (JSSC)》发表了在低压差线性稳压器(Low-...
基础院董帆教授团队在气体传感界面机制方面连续发表研究成果
2024-05-15
近日,基础院董帆教授团队在国家基金委国际合作项目和国家杰出青年基金等项目的支持下,在国际传感领域专业期刊《ACS Sensors》和《Sensors and Actuators B: Chemical》上...
热点新闻