科研学术

信通学院朱策教授团队荣获IEEE ICME 2025国际会议“最佳演示奖”
2025-07-11
近日,信息与通信工程学院朱策教授团队(视频通信与智能计算团队)的最新研究成果 “A High-Precision, Low-Latency, and Robust Vision-Based Localization System for Emb...
光电学院郑永豪/王东升团队在Chemical Society Reviews发表综述论文
2025-07-10
近日,光电科学与工程学院王东升副教授、郑永豪教授团队在顶级化学综述期刊Chemical Society Reviews(最高IF=60.615)发表指南性综述论文(Tutorial Review),题为“Devel...
计算机(网安)学院在计算机体系结构领域顶会SC发表论文
2025-07-08
近日,计算机(网安)学院“下一代互联网数据处理技术”国家工程实验室段翰聪团队在基础数学库特征值分解研究中取得重大进展,在计算机体系结构领域重要学术会议SC'25(Supe...
基础院晋兆宇研究员团队在Nature Communications发表多场耦合电化学界面研究新进展
2025-07-07
近日,基础与前沿研究院晋兆宇研究员团队与合作者在《Nature Communications》上发表题为“Photothermal-electrocatalysis interface for fuel-cell grade ammonia harvesti...
学校脑器交互团队在人工智能领域顶级期刊IEEE T-NNLS发表重要学术论文
2025-07-07
近日,电子科技大学脑器交互研究团队(中古脑器交互实验室、生命科学与技术学院)在国际人工智能顶级期刊《IEEE Transactions on Neural Networks and Learning Systems》(...
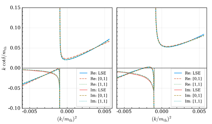
物理学院杜孟林教授团队在 Physical Review Letters 上发表论文
2025-07-07
近日,物理学院杜孟林教授、吴兵博士与中国科学院理论物理研究所郭奉坤研究员合作,在物理学顶级期刊《Physical Review Letters》上发表了题为“Effective-Range Expansion ...
杨元杰教授团队在Advanced Materials上发表封面论文
2025-07-06
近日, 我校物理学院杨元杰教授团队与合作者以“Direct Observation of Unidirectional Exciton Polaritons in Layered van der Waals Semiconductors”为题在Advanced Mater...
基础院Abolfazl Bayat 教授团队在顶级期刊Physical Review Letters发表量子传感研究新进展
2025-07-05
       近日,基础与前沿研究院Abolfazl Bayat 教授带领研究团队在量子传感领域取得了新进展,相关研究成果以题为“Overcoming Quantum Metrology Singularity through Sequ...
医学院本科生在Cell子刊发表学术论文
2025-07-04
近日,医学院核酸生物学与再生医学实验室的胡婧特聘研究员和钱浩教授,指导三位本科生赵威皓(2022级护理学)、刘子谦(2023级临床医学)、李政皓(2021级临床医学)在Cell...
信通学院武畅副教授指导研究生在人工智能顶级国际期刊发表研究成果
2025-07-03
近日,信息与通信工程学院武畅副教授指导硕士研究生取得的研究成果《L3former: Enhanced multi-scale shared Transformer with Local Linear Layer for long-term series fo...
数学科学学院硕士生在SIAM Journal on Matrix Analysis and Applications上发表研究成果
2025-07-02
近日,数学科学学院数值代数与科学计算及应用团队研究生余思佳在计算数学权威期刊SIAM Journal on Matrix Analysis and Applications上发表题为《Possible reduced structur...
计算机(网安)学院数据智能团队(DIG)在全球计算机视觉顶会ICCV 2025发表多篇论文
2025-07-01
近日,2025 IEEE国际计算机视觉大会(IEEE International Conference on Computer Vision,简称ICCV 2025)官方公布论文收录结果。据ICCV程序委员会统计,本届会议共收到有...
数学学院李佑铭老师在顶级期刊《Physical Review Letters》上发表学术论文
2025-06-30
近日,我校数学科学学院讲师李佑铭与北京计算科学研究中心贾晨研究员合作,提出了一种新的数学理论方法,为非马氏随机基因表达动力学研究的关键问题提供了全新且深刻的理论...
信通学院黄欢博士学位论文获第十届中国光学工程学会创新论文提名奖
2025-06-29
       近日,第十届“中国光学工程学会创新论文奖”评选结果揭晓,我校信息与通信工程学院黄欢的博士学位论文《智能超表面辅助的大容量光与无线融合技术研究》荣获中国光学...
电子科大脑器交互团队在人工智能领域顶级期刊IEEE T-NNLS和T-AFFC发表重要学术论文
2025-06-28
近日,电子科技大学脑器交互研究团队(中古脑器交互实验室、生命科学与技术学院)在人工智能领域国际顶级期刊《IEEE Transactions on Neural Networks and Learning Systems...
生命学院生物信息学团队在生命科学领域顶级期刊iMeta发表学术论文
2025-06-27
近日,生命学院生物信息学团队在生命科学领域顶级期刊《iMeta》发表题为《scRiskCell: A single-cell framework for quantifying islet risk cells and their adaptive dyna...
热点新闻