近日,我校微电子与固体电子学院张波教授带领的功率集成技术实验室团队在微电子器件顶级期刊《IEEE Electron Device Letters》上发表题为“7.6 V Threshold Voltage High Performance Normally-off Al2O3/GaN MOSFET Achieved by Interface Charge Engineering”(界面电荷工程实现7.6V阈值电压高性能增强型Al2O3/GaN MOSFET)的研究论文。论文于2015年12月22日在线发表后即引起了氮化镓(GaN)领域国际同行的关注,研究工作被半导体国际知名媒体《Semiconductor Today》作为硅基GaN(GaN-on-Si)功率器件重要研究进展进行专题报道并以新闻特写在线刊登于该杂志网站主页。该论文第一作者及通讯作者为团队青年教师周琦副教授,张波教授为联合通讯作者,刘丽硕士、张安邦博士生和陈万军教授等为共同作者。该项工作由我校独立完成,电子科技大学为唯一署名单位。这是张波教授团队GaN-on-Si功率器件方面研究工作一年之内第二次被该媒体报道,标志着我校在本领域的研究成果引起了国际同行的高度关注。

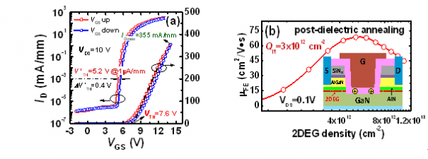
具有高速、高效和高温工作等性能优势的第三代半导体GaN功率器件能够轻松突破传统Si基功率器件理论极限,作为“电能控制与转换”的“核心”将在消费类电子、云服务、新能源汽车等领域具有巨大的应用前景。高阈值电压是保证GaN功率器件能够安全、稳定及可靠工作的关键,但实现高阈值电压的增强型GaN功率器件目前仍是困扰业界的技术瓶颈之一。该论文从探索GaN凹栅MOSFET器件栅极界面陷阱电荷微观起源出发,揭示了凹栅结构GaN表面由氧替位(O-substitution)和氮空位(N-vacancy)形成界面固定正电荷并抑制GaN MOSFET器件阈值电压调控的物理机制。提出基于N离子热处理的界面修复方法,获得了兼具高阈值电压与高沟道电子迁移率的增强型Al2O3/GaN功率MOSFET,器件阈值电压达到目前国际报道的最高水平。该研究成果为实现GaN器件阈值电压的大范围调控提供了新的思路。

Fig. (a) The transfer characteristics of the Normally-off Al2O3/GaN MOSFET with record high threshold voltage of +7.6 V and (b) the 2DEG mobility at different bias of the Normally-off channel.
张波教授团队是国内最早提出并开展GaN-on-Si功率半导体技术研究的团队之一,于2013年组织并承担了我国首个针对GaN-on-Si功率半导体的国家科技重大专项。周琦副教授自加入微固学院张波教授团队以来一直专注于GaN功率器件的应用基础研究,作为骨干成员参与了国家科技重大专项、自然基金重点项目、国防预研基金、自然基金面上/青年项目等。自2011年以来在包括IEEE Electron Device Letters,IEEE Transactions on Electron Devices, Applied Physics Letters等顶级期刊和国际顶级会议IEEE-IEDM及IEEE-ISPSD上发表论文22篇。其中2013年在功率半导体顶级会议IEEE-ISPSD发表了中国大陆GaN领域第一篇论文,2015年在该会议发表的论文被遴选为大会口头报告并成为迄今中国大陆在GaN领域唯一大会口头报告。
报道链接:http://www.semiconductor-today.com/news_items/2016/jan/uest_190116.shtml
文章链接:http://ieeexplore.ieee.org/xpl/login.jsp?tp=&arnumber=7361977
编辑:罗莎 /
审核:罗莎 /
发布:一戈