近日,物理类国际顶级期刊Physical Review Letters刊登了我校物理学院杨智副研究员的学术论文“Novel Coupled Channel Framework Connecting Quark Model and Lattice QCDforthe Near-threshold Ds States”。杨智副研究员为该论文的第一作者和通讯作者,电子科技大学为该论文第一作者单位。合作者包括日本Atomic Energy Agency的王广娟博士(通讯作者),中国科学院大学的吴佳俊副教授(通讯作者),日本Atomic Energy Agency的Makoto Oka 教授,以及北京大学的朱世琳教授。
宇宙中可观测物质的绝大部分都是由核子组成的。核子是一类稳定的强子,其基本组成是夸克和胶子。描述夸克和胶子之间强相互作用的理论,量子色动力学(QCD),在高能区的性质已经被精确检验。但是在低能区,由于强相互作用的非微扰特性,在高能区所用的微扰解析计算方法将不能适用。因此对于夸克和胶子如何构成强子,人们还知之甚少。大部分强子的质量谱可以被夸克模型所解释,最近20多年实验上又发现了不少超出夸克模型的新强子。它们的内部结构是粒子物理与中高能核物理的一个热点问题。另一方面,借助于超级计算机,从格点QCD的模拟可以数值求解出强子的质量谱。这种从第一性原理出发得到的结果,对我们理解强子结构起到了重要作用。
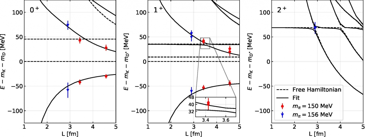
杨智副研究员与合作者在论文中提出了一种在哈密顿有效理论的框架下结合夸克模型和格点QCD结果研究近阈强子态的新方法。夸克模型对近阈Ds介子的预言比实验测量高出了近100MeV,如图1所示。该论文拟合了格点QCD对3个近阈Ds介子,Ds0(2317)、Ds1(2460)和Ds1(2536)的模拟结果,确定模型中裸态与D(*)K介子对的耦合以及D(*)K之间的相互作用。如图2左边两个小图所示,该方法可以很好地拟合格点的结果。并且对Ds2(2573)的预言也和格点的结果一致,如图2第三个小图所示。

图1:夸克模型中Ds介子的质量谱

图2:拟合格点结果Ds0(2317)(左图)、Ds1(2460)和Ds1(2536)(中图),以及Ds2(2573)的预言(右图)
该论文的研究结果表明,这些近阈Ds强子是夸克模型中的裸态与D(*)K分子态的混合。由于相互作用的强弱不同,导致裸态与D(*)K分子态在Ds物理态中的占比有所不同。其中Ds0(2317)和Ds1(2460)对应的夸克模型中裸态质量被D(*)K散射态压低,它们的介子波函数中含有极高比例的D(*)K成分,而Ds1(2536)和Ds2(2573)是较为纯净的两夸克紧致态。该论文的结果为这些Ds强子提供了清晰的物理图像。这一理论框架有望推广到其他近阈强子态的研究。
杨智,副研究员,博士。2010年获重庆大学应用物理系理学学士,2013年获重庆大学理学硕士,2016年获德国波恩大学理学博士,2016-2017年在德国波恩大学从事博士后研究,2017-2020年在中国科学院近代物理研究所任副研究员,2020年加入电子科技大学,现为物理学院副研究员、硕导。研究方向包括强子物理理论,包括强子谱学,奇特强子态结构以及强子反应研究,截止2022年3月在Phys.Rev.Lett.,JHEP,Phys. Lett. B,Phys. Rev. D,Eur. Phys. J. C等高水平学术期刊上发表论文共计近30篇
论文链接:https://journals.aps.org/prl/abstract/10.1103/PhysRevLett.128.112001
编辑:赵海玲 /
审核:林坤 /
发布:陈伟