近日,信息与软件工程学院刘勇国教授团队在Nature Communications上发表了题为“Predicting in-hospital outcomes of patients with acute kidney injury”的研究论文。该研究由信息与软件工程学院医药知识工程与智能软件实验室、四川省人民医院肾内科和南方医科大学南方医院国家肾脏病临床医学研究中心等研究团队共同完成。信息与软件工程学院张云博士、四川省人民医院吴昌为博士和南方医科大学南方医院聂晟副主任医师为共同第一作者。电子科技大学刘勇国教授、四川省人民医院李贵森教授和南方医科大学南方医院侯凡凡院士为通讯作者。
急性肾损伤(Acute kidney injury,AKI)是造成院内死亡的主要原因,其患病率约占住院患者的五分之一。由于院内AKI的高患病率和高死亡率,早期识别和治疗至关重要。本研究构建基于深度学习技术的急性肾损伤结局预测模型,实现AKI住院患者24小时、48小时、72小时和7天的结局预测。

图1 研究人群选择流程
本次研究共纳入从2000年1月1日到2021年5月26日的19家临床医疗机构的7084339例患者,通过排除标准后最终纳入137084例AKI住院患者。

图2 研究整体框架
研究工作首先收集患者临床信息,包括人口统计学信息、体征信息、实验室指标、医疗过程信息、用药信息等,为对患者24小时、48小时、72小时和7天的结局开展预测,设计了患者数据合并规则,通过合并24小时内数据生成患者电子病历的时间序列表示,构建基于长短期记忆网络的急性肾损伤结局预测模型,分析患者序列表示和结局间关联性,提取结局相关的潜在特征,实现AKI患者住院24小时、48小时、72小时和7天的死亡及透析结局预测。

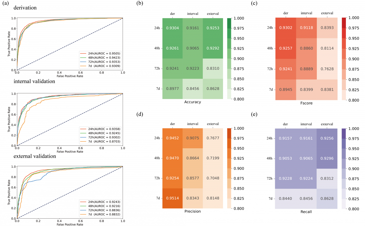
图3 死亡结局预测实验结果
在独立外部验证集中,预测死亡结局的AUROC分别为92.43%,92.16%,88.36%和88.32%,预测透析结局的AUROC分别为74.18%,77.58%,75.21%和69.34%。实验结果表明,所提模型可较好预测AKI患者结局,更好辅助临床医师评估患者病情严重程度和预后风险,有助于AKI早期治疗,促使临床医师采取及时、快速、精准地干预措施,降低不良结局发生,降低住院死亡率和透析使用率。

图4 亚组分析实验结果
此外,研究工作对与死亡或透析相关风险因素开展亚组分析(年龄、性别、AKI分期、SCr基线(血肌酐基线)、高血压、糖尿病、ICU时间和大手术),其预测死亡结局的AUROC多数超过80.00%,预测透析结局的AUROC超过75.00%。实验结果表明,所提模型在不同亚组人群下表现良好,可较好评估不同亚组人群的结局,为临床医师提供细粒度参考信息,针对不同亚组人群提供个性化治疗和预后评估,有助于提高治疗效果并最大限度地减少死亡和透析风险。
刘勇国教授牵头的医药知识工程与智能软件实验室系统开展数字医学、计算健康、人工智能、大数据等医药健康与信息科学交叉领域的前沿理论研究和关键技术研发,在临床诊疗辅助推荐、方剂药物设计研发、药用资源发掘整理、预防照护智能监控、养生康复精准决策等方面取得多项科研成果。承担国家重点研发计划、国家科技重大专项、国家科技基础资源调查专项、国家863计划、国家自然科学基金、四川省科技重大项目等多项科研课题。在Nature Communications、JAMA Network Open、IEEE TPAMI、MIA、IEEE TIP、IEEE TFS、IEEE TC、IEEE TKDE、IEEE/ACM TASLP、IEEE ICDE、ACM MM等国际权威学术期刊和会议录用和发表学术论文近300篇,授权发明专利60余项,计算机软件著作权50余项。
论文链接:https://www.nature.com/articles/s41467-023-39474-6
编辑:李果 /
审核:李果 /
发布:陈伟