近日,电子科技大学材料与能源学院肖钰特聘研究员在Energy & Environmental Science期刊上发表题为“Enhanced average power factor and ZT value in PbSe thermoelectric material with dual interstitial doping” 的研究论文。论文第一单位为电子科技大学材料与能源学院,第一作者为电子科技大学与西安交通大学联合培养博士生徐莉青,肖钰特聘研究员为独立通讯作者。

热电能源材料作为一种以载流子和声子为媒介,实现热能与电能直接相互转换的功能材料,在深空探测热电源、可穿戴自供能电子设备、光通讯制冷等方面有重要应用。为推动热电能源转换技术大规模应用,亟需开发低成本和高性能的热电能源材料。与热电能源材料实际应用相关的转换效率和输出功率分别由材料的ZT值和功率因子(PF值)决定。然而,由于热电参数之间的强耦合关系,实验上同时获得高ZT值和PF值十分具有挑战性。

图1. 本工作与其他热电材料性能对比:(a)单间隙掺杂的n型PbSe热电材料,(b)低成本Se/S基热电材料
基于上述问题,本工作开发了新型双间隙掺杂策略,在PbSe热电材料中实现了载流子和声子的解耦传输。在n型Pb1.02Se-0.2%Cu中,Pb和Cu双间隙掺杂同时实现了在300-773 K下平均PF值(PFave)为24.18 μW cm-1 K-2和平均ZT值(ZTave)为1.01的历史新高。其性能明显优于其他单间隙掺杂的n型PbSe热电材料,且在其他低成本的Se/S基n型多晶热电材料中表现突出,甚至可以媲美n型SnSe单晶热电材料,如图1所示。

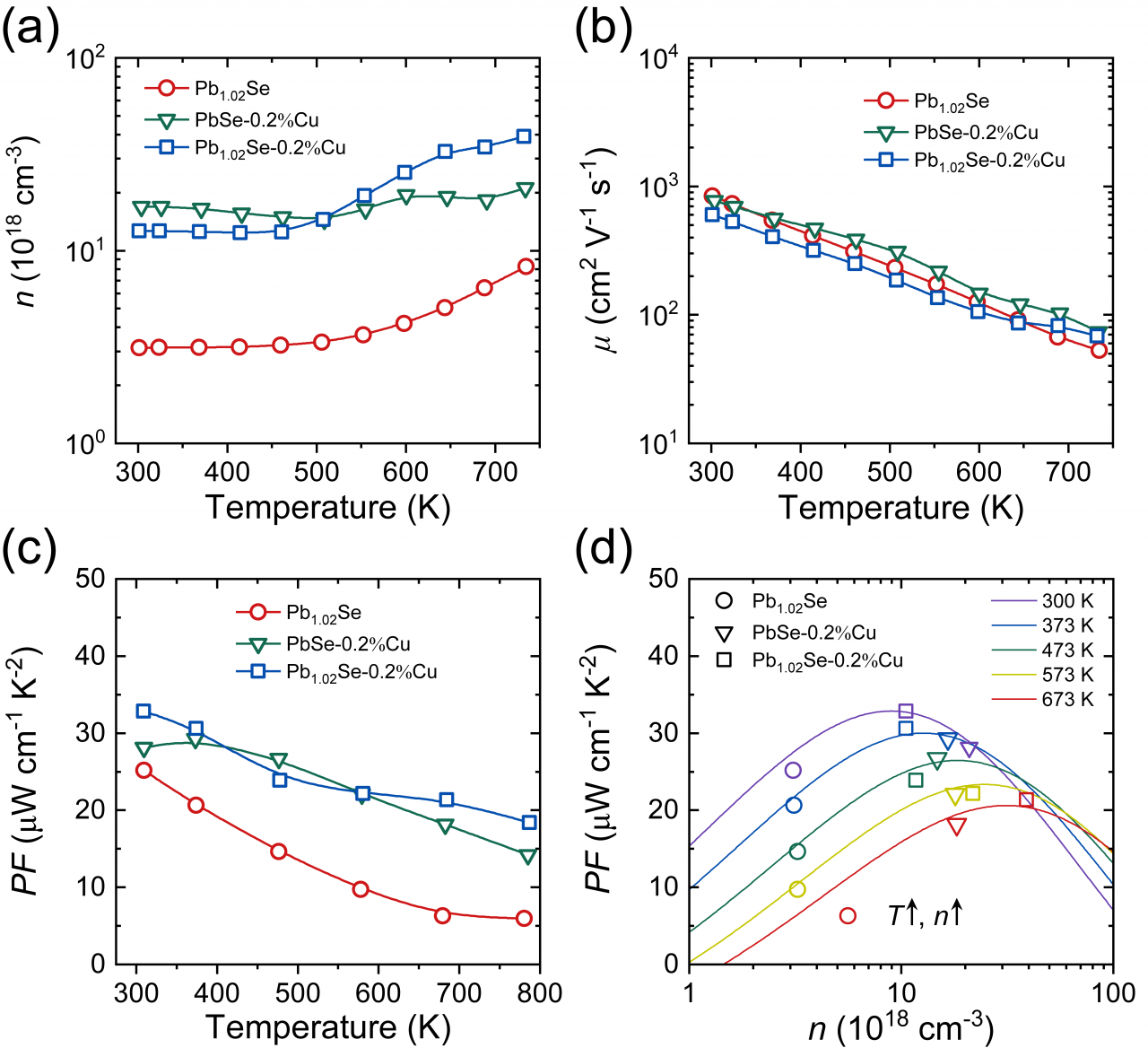
图2. Pb1.02Se、PbSe-0.2%Cu和Pb1.02Se-0.2% Cu的电输运性能
其中,n型Pb1.02Se-0.2%Cu中的Pb和Cu双间隙可以实现载流子浓度的全温区动态优化,使载流子浓度从300 K时的1.27×1019 cm-3优化到773 K时的3.90×1019 cm-3,最终获得高达到32.83 μW cm-1 K-2的室温PF值,以及24.18 μW cm-1 K-2的平均PF值(300-773 K),如图2所示。

图3. Pb1.02Se-0.2% Cu的微观结构
此外,图3显示Pb和Cu的双间隙会产生电子主导的多级缺陷(阳离子间隙、Se空位、位错和Pb沉淀),在保持较高的电输运性能的同时显著降低了晶格导率。得益于电输运和热输运性能的优化,实现了n型Pb1.02Se-0.2%Cu在300-773 K内热电性能的极大提升。此外,本工作证明了双间隙在有效解耦载流子和声子输运方面的可行性,可促进双间隙或多间隙掺杂策略的进一步深入探索,可推广到其他热电能源材料体系实现性能优化。
该工作得到了国家自然基金委面上项目、凝固技术国家重点实验室基金和电子科技大学校百人启动经费的支持。
论文链接:https://pubs.rsc.org/en/content/articlelanding/2024/ee/d3ee04539k/unauth
编辑:李果 /
审核:李果 /
发布:陈伟