近日,我校自动化工程学院机器人研究中心硕士研究生陈晨在机器人最优跟踪控制方向取得重要研究进展,在多个控制学科顶级会议和期刊发表论文,包括International Federation of Automatic Control (IFAC2023)、Expert Systems with Applications (ESWA)、American Control Conference (ACC2024)。IFAC和ACC均为控制领域顶级国际会议,ESWA为中国科学院一区top期刊。该工作由程洪教授和彭知南老师共同指导,电子科技大学为论文第一单位和通讯作者单位。
复杂环境及任务场景下机器人系统建模与控制一直是自动化、控制科学重要技术以及前沿研究热点,尤其在智能制造、医工交叉等领域具有重要应用价值。该工作提出了一种基于自适应动态规划方法和强化学习的机器人最优跟踪控制理论框架与方法,有效解决机器人系统输入受限、模型参数未知等情况下控制性能差的问题,提升机器人应对复杂任务和不确定动态环境下的自适应和在线学习能力。
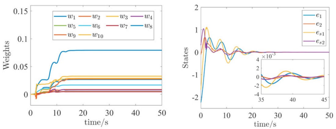
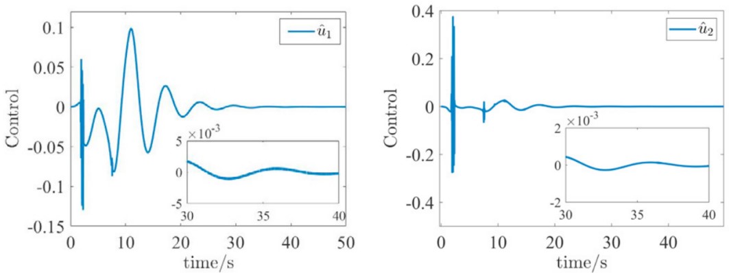
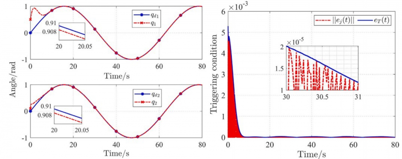
论文1《Event-Triggered Robust Optimal Control for Robotic Manipulators with Input Constraints via Adaptive Dynamic Programming》发表在控制领域顶级国际会议IFAC上。为了满足输入约束条件,确保控制安全有效,同时消除模型不确定性的影响,本文提出了一种基于事件触发机制和自适应动态规划框架的机械臂输入约束鲁棒最优跟踪控制方法。通过重新设计代价函数和问题转化,将原输入约束鲁棒控制问题转换为一般最优控制问题,消除了输入约束对系统限制。在该框架中,基于Lyapunov稳定性理论设计改进的梯度下降法,消除初始稳定条件的限制,提高该方法的可行性和应用范围。


论文2《Event-triggered learning-based robust tracking control for robotic manipulators with uncertain dynamics and non-zero equilibrium》发表在中国科学院一区TOP期刊ESWA上。 论文针对非零平衡条件下的机械臂鲁棒最优跟踪控制,提出了一种基于事件触发(Event-triggered)的自适应动态规划框架(Adaptive dynamic programming, ADP),通过重构最优控制代价函数,实现了在抑制模型参数扰动的同时,消除了传统的零平衡点假设。另外,在Critic网络权重更新算法中,通过引入附加项,设计了一种改进的梯度下降算法,消除了初始稳定条件,提升了方法的实用性。


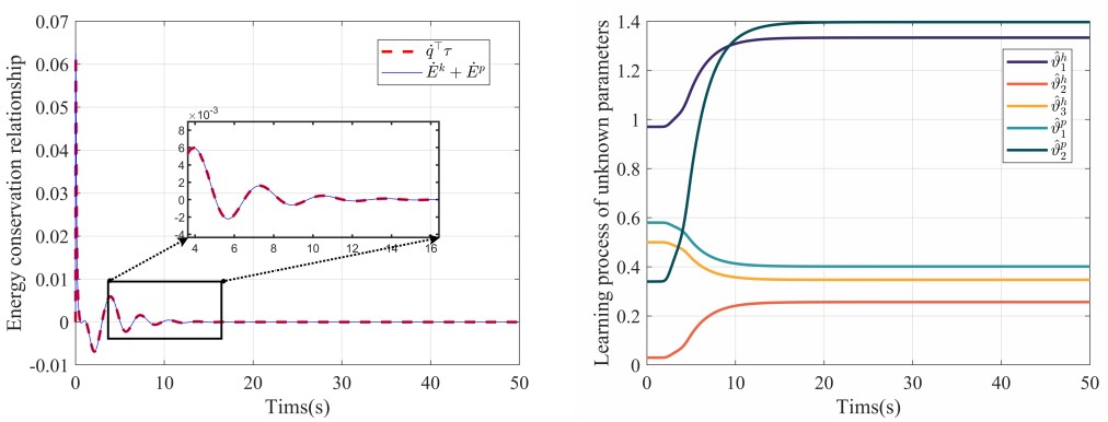
论文3《Learning-based Tracking Control of Unknown Robot Systems With Online Parameter Estimation》发表在控制领域顶级国际会议ACC上。论文针对模型参数未知的机器人最优跟踪控制问题,首先基于能量平衡方程提出了一种更高效的机器人动力学模型参数化方法。然后,基于动态回归扩展融合和自适应动态规划技术,提出了一种辨识器评判网络联合设计。在Critic网络的更新率设计中,将网络参数更新问题转化为参数辨识问题。同时,基于动态回归扩展融合技术的参数辨识方法弱化了参数收敛条件,消除了严格持续激励限制。


上述工作依托人机智能技术与系统教育部工程研究中心完成。在负责人程洪教授的带领下,中心于2019年10月批复成立,目前在外骨骼机器人、协作机器人、人机共驾等方面已具备独立研制的能力、成熟的技术基础和丰富的实践经验,所突破的关键技术均具有完全自主的知识产权。《物理紧耦合人机系统关键技术及其应用》项目在2017年荣获中国人工智能学会“吴文俊人工智能科技进步一等奖”,所研制的下肢助行外骨骼机器人于2018年取得国内首批CFDA注册证,填补了国内产品空白,打破了国际技术壁垒,已达国际先进水平。此外,中心研制的移动机器人和人机共驾系列产品,在国内相关领域产生示范应用,达到国内领先水平。中心目前建有省级平台5个,校企平台2个以及行业联盟3个,已发表与录用论文合计300余篇,申请国家发明专利300项,其中授权150项,30项已转化并实现产业应用。此外,中心承担及完成了包含国家973计划项目、国家重点研发计划在内的国家级重点项目10余项,省部级重点项目20余项。
论文链接:
https://www.sciencedirect.com/science/article/pii/S2405896323020797
https://www.sciencedirect.com/science/article/abs/pii/S0957417424014404
编辑:王晓刚 /
审核:李果 /
发布:陈伟