科研学术

分享到微信 ×
打开微信“扫一扫”
即可将网页分享至朋友圈
物理学院严鹏教授课题组在PRL发表研究成果
文:严鹏、高洁 图:严鹏 来源:物理学院 时间:2024-11-08

  近日,物理学院、电子薄膜与集成器件全国重点实验室严鹏教授课题组在磁学与自旋电子学研究领域取得重要进展。通过研究自旋极化电流与交错磁性斯格明子之间的相互作用,他们发现了由蕴含在磁四极矩中的规范场导致的交错磁性斯格明子霍尔效应(图1),挑战了“电中性”准粒子没有霍尔效应的观念。该理论研究结果以“Skyrmion Hall Effect in Altermagnets”为题,发表在近期的《Physical Review Letters》。电子科技大学为论文唯一完成单位,物理学院博士后金哲珺雨、博士生曾钊卓为第一作者,严鹏教授为通讯作者。

  当载流导体置于磁场中时,洛伦兹力使得纵向流动的电子在导体的一侧累积,产生横向电压,该物理现象称为霍尔效应。除了标准的费米子和玻色子,在磁斯格明子和超导涡旋等一些准粒子体系中也发现了有趣的霍尔效应。和电子类似,这些准粒子也携带一种广义的电荷:拓扑荷。比如,在磁斯格明子体系中,有限的拓扑荷会诱导电子的马格努斯力和斯格明子的旋进运动,从而产生斯格明子霍尔效应。在反铁磁体系中,斯格明子由两套具有相反拓扑荷的铁磁斯格明子组成,呈现“电中性”,不同子格的斯格明子所受到的横向力会相互抵消,继而完全抑制反铁磁斯格明子的霍尔效应。因此,人们普遍认为这些电中性的准粒子没有霍尔效应。有趣的是,早在1984年,Aharonov和Casher就发现,当一个电中性粒子具有磁矩时,其拉氏量中会包含一个有效的矢势,这为实现中性粒子的霍尔效应提供了线索(有限的矢势可能会诱导有效的电磁场)。

  2021年,Šmejkal 等人提出了一种全新的磁性概念:交错磁性(altermagnetism,或简称ATM)。这对于已经发展了几百年的磁学领域而言是不常见的。交错磁体通常具有为零的总磁矩,但是却破坏了克拉默简并。这一特性使得交错磁体中的自旋织构会不可避免地携带局域磁矩,这为实现“电中性”斯格明子的霍尔效应提供了可能。在该工作中,他们研究了d波交错磁体中的斯格明子和自旋极化电流的相互作用,预测了电中性斯格明子霍尔效应(图1)。

1.jpg 

图1:交错磁体中的中性斯格明子霍尔效应示意图

  分析发现,该霍尔效应来源于实空间中的磁四极矩,如图1所示。该磁多极矩的出现由交错磁体一种特殊联合对称性决定:晶体的四重旋转和自旋空间的二重旋转对称性。

  通过把交错磁体的拉氏量与Aharonov-Casher(AC)效应做类比,他们发现这一有限的四极矩会贡献一个有效的规范场,继而影响电子的绝热自旋转移过程,最终导致ATM斯格明子霍尔效应。但与AC效应不同的是,磁四极矩的总磁矩为零,因此斯格明子的霍尔效应由磁多极矩的对称性和局域强度所决定,这暗示了在不同类型交错磁体中可能存在丰富的斯格明子动力学。这一特性也使得斯格明子的横向速度几乎不依赖于其非绝热自旋转移系数,但会受到电子漂移速度的影响。

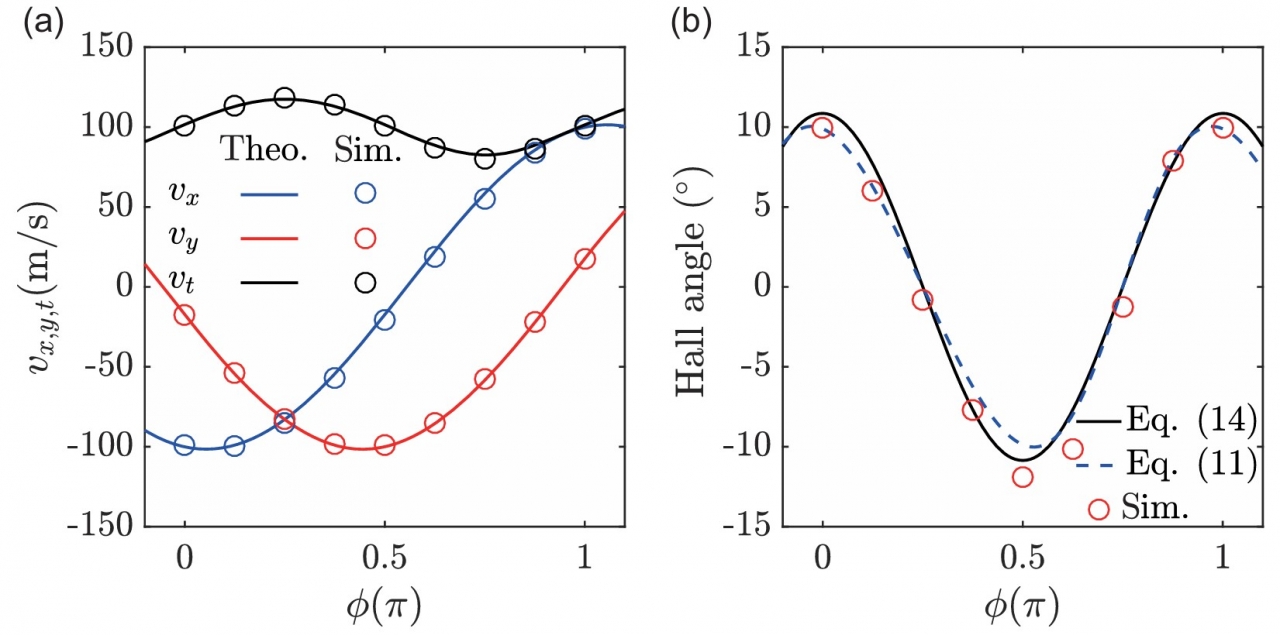
2.jpg 

图2:斯格明子的速度(a)和霍尔角(b)与注入电流方向ϕ的关系

  此外,由于交错磁体的各向异性本质,斯格明子的总速度和霍尔角也强烈依赖于驱动电流的方向(图2a)。值得注意的是,当不同子格之间的斯格明子满足以电流方向为轴的镜面映射对称条件时,斯格明子霍尔运动会完全消失(图2b)。

  概括起来,这种“电中性”准粒子的霍尔效应起源于:(1)交错磁体破缺的克拉默简并:体系无法通过时间反演对称性联合平移对称或者空间反演对称保持不变,这不同于传统的反铁磁体系;(2)实空间中所存在的磁多极矩:它们提供了一个有效的规范场;(3)绝热自旋转移过程:规范场会有强烈的影响电子的绝热自旋转移过程,继而产生斯格明子霍尔效应。需要指出的是,非绝热自旋转移力矩和自旋轨道耦合力矩等耗散过程不受该规范场影响。

  该工作受国家重点研发计划和国家自然科学基金重点、面上项目的资助。

  

  文章链接:https://doi.org/10.1103/PhysRevLett.133.196701

编辑:王晓刚  /   审核:李果  /   发布:陈伟

热点新闻