近日,我校物理学院、电子薄膜与集成器件全国重点实验室严鹏教授课题组在磁学与自旋电子学研究领域再次取得重要进展。通过研究亚铁磁畴壁中的磁子自旋输运,他们发现了磁子穿过原子级窄畴壁后能够保留其原有自旋,这一结果突破了传统认知。该理论研究结果以“Magnon Spin Transport through Atomic Ferrimagnetic Domain Walls”为题,发表在近期的 Physical Review Letters。电子科技大学为论文唯一完成单位,物理学院博士生曾钊卓为第一作者,严鹏教授为通讯作者。
20世纪30年代,朗道等人提出了铁磁性的量子理论,描述了铁磁体中磁矩的集体激发行为,由于这些激发具有波动属性,被称为自旋波。20世纪30年代末,布洛赫等人对自旋波的量子化进行了深入研究。他们指出,自旋波可以被量子化,形成一种准粒子,即磁子。由于磁子具有相干长度长、不产生焦耳热等优点,近些年受到人们的广泛关注。特别是对磁子手性传输的研究,在探索新的物理现象和规律以及开发新型磁子器件方面具有重要意义。
磁织构中的磁子输运是一个重要的物理问题。一个被广泛被接受的结论是,当磁子经过180°磁畴壁时,磁子所携带的自旋角动量会发生翻转,变化的磁子角动量将转移给磁畴壁,进而推动畴壁运动,称为磁子自旋转移矩效应。最近,清华大学的南天翔课题组实验发现,在具有多畴态的亚铁磁体系中,磁子依旧存在自旋扩散,且流经多畴态和单畴态所测得信号强度几乎一样。然而,由于多畴态存在多个可以相互抵消的磁畴,磁子所携带的角动量应当迅速衰减至零。这就带来了一个关键的问题:磁子流经亚铁磁畴壁时会维持还是翻转它的自旋角动量?为了回答这个问题,课题组研究了原子尺度下亚铁磁畴壁中的磁子自旋输运。

图1:磁子穿过亚铁磁单畴、宽畴壁和窄畴壁前后的自旋、动量变化示意图。
通过改变垂直各向异性K和海森堡交换相互作用J的比值,课题组调节磁畴壁的宽度,形成宽畴壁和窄畴壁两种磁构型,如图1所示。不失一般性,课题组考虑右手性磁子流的透射。当穿过宽畴壁(K < < j)时,磁子携带的自旋角动量会发生翻转,而线性动量保持不变;而当它穿过窄畴壁(k/j> 2/3)时,其携带的自旋角动量维持右手性,但是由于带间散射,磁子的线性动量会出现一个跳变。

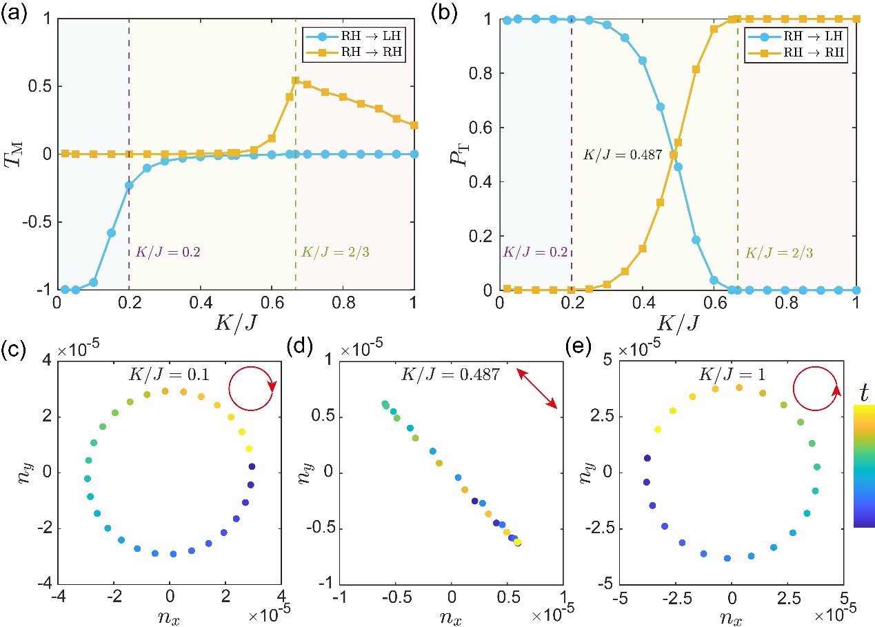
图2:(a) 透射率TM和(b)百分比PT随K/J的变化关系。(c)-(e) 不同比值K/J下的透射磁子手性。
如图2(a)和(b)所示,当入射右手磁子时,通过改变比值K/J,可以调节出射磁子中左手和右手性磁子的占比。随着K/J逐渐增加,左手透射磁子的自旋流透射率从-1逐渐向0衰减,而右手透射磁子由0逐渐增大再减小,在K/J = 2/3处达到最大值。当K/J < 0.2时,透射磁子主要以左手性为主,如图2(c)所示。当k/j> 2/3时,透射磁子变为右手性主导,如图2(e)所示。值得注意的是,当K/J = 0.487时,左手磁子和右手磁子占比相同,从而形成线偏振的磁子态,如图2(d)所示。因此,我们可以通过改变磁畴壁的宽度来直接调控透射磁子的自旋角动量或手性。
课题组的这项理论结果揭示了磁子在亚铁磁畴壁中的自旋传输机制,特别是发现了磁子穿过原子尺度窄畴壁后能够保留其原有自旋,这一结果突破了传统认知。这种独特的自旋传输机制为理解磁子与磁结构的相互作用提供了新的理论基础。从应用层面看,通过精确调控亚铁磁畴壁的宽度,可以实现对磁子自旋的高效操控,进而开发出基于磁子自旋的逻辑器件,为信息技术领域的创新带来新的思路。
本研究受国家重点研发计划和国家自然科学基金重点、面上项目的资助。
文章链接:
https://doi.org/10.1103/PhysRevLett.134.026701
编辑:王晓刚 /
审核:李果 /
发布:陈伟