近日,在第44届中国控制会议(CCC 2025)上,自动化工程学院胡江平教授团队2023年在SCI期刊《Journal of Systems Science & Complexity》上发表的研究论文“Fixed-time stabilization of high-order uncertain nonlinear systems: Output feedback control design and settling time analysis”荣获“Best Paper Award ”(JSSC最佳论文奖)。该论文第一作者为胡江平教授指导的博士研究生郭超群(已毕业,现为山东理工大学教师),胡江平教授为通讯作者。
此外,在该会议上,胡江平教授团队2024年在自动化学科高质量科技期刊、ESCI期刊《Control Theory and Technology》上发表的研究论文“Safe formation control of multiple unmanned aerial vehicles: control design and safety-stability analysis”荣获“Outstanding Paper Award”(CTT优秀论文奖)。该论文第一作者为胡江平教授指导的2022级博士生李昊齐,胡江平教授为通讯作者。
图1 JSSC最佳论文奖颁奖仪式
图2 CTT优秀论文奖颁奖仪式
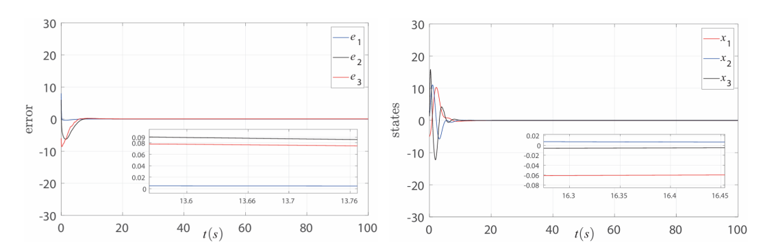
郭超群所发表的论文面向如何通过输出反馈控制在固定时间内稳定高阶不确定非线性系统开展研究。该论文首先通过构建间接双系统并利用比较原理,提出了一种新的整定时间求解方法。随后,为高阶不确定非线性系统设计了固定时间状态观测器和基于神经网络的自适应律,用以估计系统状态与未知扰动。进一步借助齐次性技术,构造了一种固定时间输出反馈控制器,并对所提控制策略下闭环系统的整定时间上界进行了分析。

图3 带有不确定性的观测器误差系统轨迹(左图)及控制器作用下带有不确定性的系统轨迹(右图)
李昊齐所发表的论文面向如何为多无人机系统开发一种能同时满足安全约束和稳定目标的控制策略开展研究。该论文提出了一种统一的方法,用以在多无人机编队控制中同时满足安全与稳定要求:将稳定性表示为李雅普诺夫函数,将安全性表示为障碍函数,并由此推导出一个松弛的逆控制李雅普诺夫障碍定理。基于松弛逆控制李雅普诺夫障碍函数(RCCLBFs),为多无人机系统设计了分布式的安全-稳定编队控制策略。通过将RCCLBFs的求解问题转化为类李雅普诺夫稳定化问题,证明了所提控制策略能够使无人机在形成预定编队的同时,始终保持在指定的安全集合内,并且能够适应不安全区域的潜在动态变化。
图4 具有安全保障的多无人机系统编队性能
中国控制会议是由中国自动化学会控制理论专业委员会发起的系列学术年会,自1979年至今已举办了43届,现已发展成为国际控制领域具有重要影响力的系列学术会议之一。该会旨在为系统控制领域的专家、学者、工程技术人员及研究生提供一个学术交流的机会,以推动系统控制科学的学科发展和控制技术的实际应用。第44届中国控制会议(CCC 2025)于7月28-30日在重庆举行。
生物智能与控制研究中心由胡江平教授建立于2019年。目前有教授2人、副教授1人、讲师1人、博士研究生11名、硕士研究生14名;其中,国家级人才1人、教育部新世纪人才1人。团队主要从事多智能系统建模与控制、无人自主控制、机器人和机器视觉等方面研究。近年来,团队发表SCI论文120余篇,其中ESI高被引论文19篇;申请发明专利10余项;承担了国家重点研发计划、国家自然科学基金、省部级科研计划等多个科研项目。团队成员在IEEE、中国自动化学会等重要学术组织担任了IEEE Fellow、专委会委员等,并在Journal of Systems Science & Complexity、Kybernetika、PLOS Complex Systems等高水平期刊担任编委。团队成员还与美国德州理工大学、瑞典皇家工学院、香港城市大学、香港科技大学、澳大利亚西悉尼大学、日本上智大学等国际高校知名学者保持紧密的合作关系。
全文链接:https://doi.org/10.1007/s11424-023-2370-y
https://doi.org/10.1007/s11768-024-00209-7
编辑:王晓刚 /
审核:李果 /
发布:陈伟