近日,生命学院生物信息学团队在材料科学与工程技术领域大类1区TOP期刊Chemical Engineering Journal(影响因子为13.4)发表了题为“A highly sensitive and reusable magnetic nano-electrochemical biosensor for the detection of the liver cancer biomarker heat shock protein 70”的研究论文。该论文第一作者为电子科技大学生命学院2024级博士研究生刘入铭,通讯作者为电子科技大学生命学院曾红娟副教授,电子科技大学是唯一完成单位。

肝癌是全球范围内常见的恶性肿瘤之一,其早期诊断对于提高患者生存率至关重要。热休克蛋白70(HSP70)作为一种关键的肿瘤生物标志物,在肝细胞癌(HCC)中表达显著升高,尤其在早期阶段即可检测到其水平的显著变化。然而,传统的检测方法如酶联免疫吸附试验(ELISA)存在灵敏度低、成本高、操作复杂等问题,难以满足临床早期筛查的需求。
该研究开发了一种用于检测HSP70的经济高效、可重复使用且高灵敏度的基于磁性适配体的电化学传感器。通过生物层干涉SELEX (BLI-SELEX)方法从76个核苷酸初始库中鉴定出高亲和力的HSP70核酸适配体。磁性电极产生的磁场有效地将磁性Fe3O4@Au-Apt7复合物吸附到工作电极上,形成功能化薄膜。采用电化学阻抗谱(EIS)来量化传感器与不同浓度的重组HSP70抗原之间的相互作用。

图1. HSP70传感器制造过程和测试程序示意图
核酸适配体筛选: 通过生物层干涉(BLI-SELEX)技术从初始文库中筛选出高亲和力的核酸适配体Apt7,其解离常数(Kd)为0.74 nM,表现出优异的特异性和亲和力。

图 2. SELEX 的原理
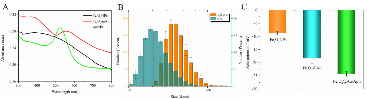
磁性纳米材料合成: 采用化学还原法制备了均匀尺寸的Fe3O4@Au纳米颗粒,其具有优异的电导率和磁性特性,能够通过磁性电极实现高效吸附和固定。

图 3 (A) Fe3O4NPs、Fe3O4@AuNPs和AuNPs的紫外可见吸收光谱。(B) Fe3O4NPs和Fe3O4@AuNPs的粒度分布。(C) Fe3O4NPs、Fe3O4@AuNPs和Fe3O4@Au-Apt7的Zeta电位。
电化学检测方法: 利用电化学阻抗谱(EIS)技术优化了传感器的性能,实现了对HSP70的高灵敏度检测,检测范围为10 pg/mL至200 ng/mL,检测限低至0.525 pg/mL,显著优于传统ELISA方法。

图 4 (A) 不同浓度HSP70的阻抗谱和EIS的等效电路图,其中Rs、Cdl、W和Rct分别代表溶液电阻、界面双层电容、Warburg阻抗和电荷转移电阻。不同的HSP70浓度会改变等效电路中的电荷转移电阻。(B) 电阻Rct与不同HSP70浓度的对数的线性图(R2 = 0.995)。
编辑:助理编辑 /
审核:刘瑶 /
发布:李果