即可将网页分享至朋友圈
热电制冷技术作为一种新型固态制冷技术,具有体积小、重量轻、可靠性高、无机械运动部件等特点,在集成电路散热、芯片控温、红外探测器冷却、生物医疗设备等领域具有广泛的应用前景。目前Bi2Te3基合金材料是唯一的商用热电制冷材料。但由于Te元素的稀缺性和昂贵价格,极大限制了热电制冷技术的规模化应用。针对此难题,电子科技大学材料与能源学院肖钰特聘研究员课题组开发了一种低成本高性能对称PbSe基热电制冷器件,研究成果近期发表在Advanced Materials期刊上。电子科技大学材料与能源学院为论文第一单位,电子科技大学博士后徐莉青为第一作者,肖钰特聘研究员为共同通讯作者。

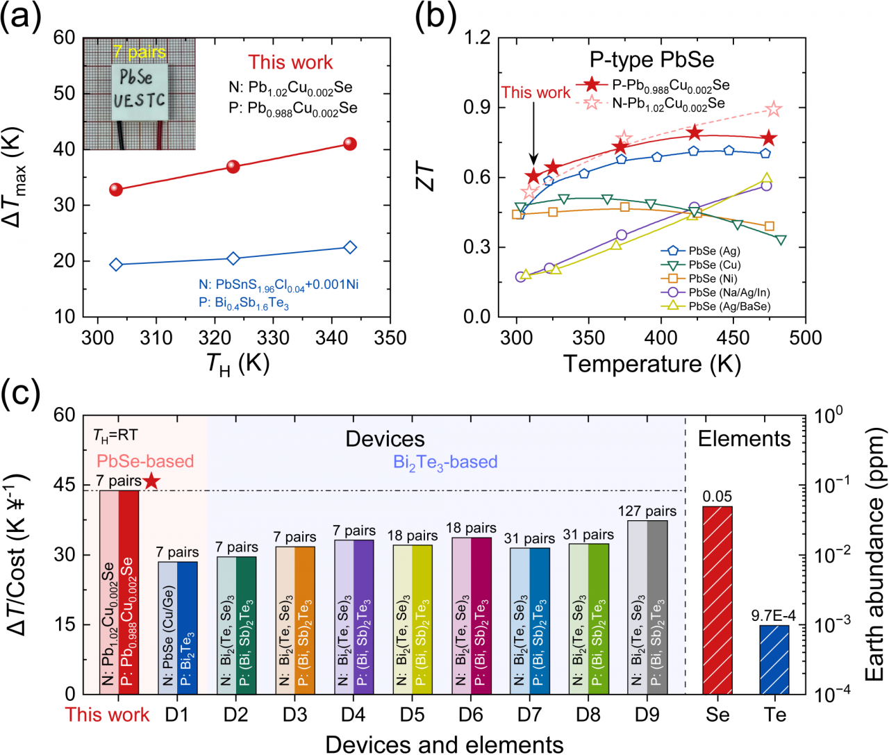
本工作率先制备了由7对n型Pb1.02Cu0.002Se和p型Pb0.988Cu0.002Se多晶热电臂构成的低成本对称PbSe基热电制冷器件。该对称器件在热端温度为303和343 K时分别可实现32.8和41 K的制冷温差。相较于低成本PbSnS2基器件和Bi2Te3基热电器件,展现出极高的室温制冷性价比(ΔT/cost),如图1所示。

图1.低成本高效的对称PbSe基热电制冷器件。
a)对称PbSe基器件与PbSnS2基器件的制冷温差对比。b) P型PbSe的ZT值对比。c) PbSe基器件与Bi2Te3基器件的成本效益对比。

图2. Pb0.988Cu0.002Se的微观结构
该对称PbSe基热电器件展现出优异的制冷性价比主要源于本工作中开发的低成本且具有优异近室温热电性能的p型Pb0.988Cu0.002Se材料。在p型PbSe中,Cu原子的间隙形成能略低于取代Pb的形成能,因此理论上Cu会优先占据PbSe晶格的间隙位。本工作通过使用Pb空位和Cu取代共掺杂实现了对p型PbSe中的空穴载流子浓度的精确调控。图2显示在含有一定Pb空位的PbSe中,Cu可以稳定占据Pb位,实现受主掺杂。

图3. Pb0.988Cu0.002Se的热电性能对比
此外,PbSe晶格内自由移动的Cu原子显著阻碍了声子传播,提升了p型Pb0.988Cu0.002Se的迁移率与晶格热导率的比值(μ/κlat)。最终,p型Pb0.988Cu0.002Se的室温ZT值(ZTRT)和300-573 K内的平均ZT值(ZTave)可分别达到0.6和0.68,远超已报道的p型PbSe基多晶材料。本工作表明,PbSe化合物是Bi2Te3基合金材料在室温附近热电制冷应用极具前景的候选者,且成本效益高的对称PbSe基器件为规模化热电制冷应用提供了新方案。
该工作还得到了北京航空航天大学和中国石油大学合作者的支持,同时得到了国家重点研发计划、四川省自然科学基金和电子科技大学校百人等项目资助。
论文链接:https://advanced.onlinelibrary.wiley.com/doi/full/10.1002/adma.202502705
编辑:助理编辑 / 审核:刘瑶 / 发布:李果