即可将网页分享至朋友圈
【编者按】粒计算是一种看待客观世界的世界观和方法论,对人类的问题求解非常重要。它通过信息粒化把复杂问题抽象、划分从而转化为若干较为简单的问题,有助于我们更好地分析和解决问题。三支决策(Three-way Decision)是一种基于符合人类认知的决策模式,人们在实际决策过程中,对于具有充分把握接受或拒绝的事物能够立即作出快速的判断,对于不能立即作出决策的事物,人们往往会推迟对事件的判断。本研究基于三支决策模型为例,尝试将其单源信息拓展至多源信息情形,具体考虑群体决策这一复杂环境,利用粒计算的信息粒化策略,探讨多源信息的融合,来验证粒计算的有效性。经济与管理学院梁德翠副教授在“Information Sciences”发表了题为“Three-way group decisions with decision-theoretic rough sets”和“Systematic studies on three-way decisions with interval-valued decision-theoretic rough sets”(ESI高被引用论文),以下是他的观点:
三支决策(Three-way Decisions)是国际著名的粒计算专家加拿大Regina大学Yao Y.Y.教授提出的一种符合人类认知的决策方法,已在医学、工程、管理与信息等领域得到了成功的应用。在传统的二支决策中,人们往往只采取接受与拒绝、是与非两种选择。这种二支决策只有在人们具有充分证据接受或拒绝某事物且能够即刻做出快速判断时才合理有效。然而,在很多实际决策问题中,当信息或证据不足、对事件的信息掌握不够充分、对风险的评估不够全面和对事件的认知不够彻底等情况下,强制做出接受或拒绝的决策,会带来不必要的损失,甚至造成严重的、无法挽回的灾难性后果。对于三支决策理论模型,其核心问题是测度决策风险,即评估模型中损失函数。在经典的三支决策基本模型中,损失函数的确立主要源于单源信息。基于此,本研究尝试将单源信息拓展至多源信息情形,具体考虑群体决策这一复杂环境,基于三支决策模型,探讨多源信息的融合策略,进而挖掘决策规则,如图1所示。

图1 多源信息的决策流程
在多源信息背景下,一个重要的挑战就是如何改进信息融合中的不一致性问题。本研究尝试把国际著名粒计算专家Pedrycz W.教授所提出的信息粒化与反粒化策略,引入到三支决策模型中,其基本思想如图2所示。

图2 信息粒化与反粒化策略
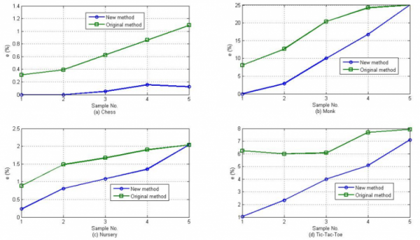
由图2所示,其简要描述了信息融合中信息粒化与反粒化策略的流程。具体而言,本研究以不一致性为目标函数,通过信息收集,建立优化模型,构造粒化机制,从而聚合多源信息,把具体信息抽象到高层次粒度。在实际中,诸多决策问题都是以较粗的信息粒方式来进行描述的,例如:战略、宗旨、企业定位等,都是只给出了方向性的描述。若对这类决策问题作精确描述,反而可能会弄巧成拙。然后,在高的粒度层次上,进行信息集结,再运用反粒化策略,挖掘决策规则。最后,选取UCI中四个公共数据集,对该种新方法进行了实验分析,从而证明了粒化与反粒化在信息融合中的有效性,结果如图3所示。

图3 实验对比研究
综上,粒计算为我们提供了一种多层次、多视角的处理问题新思路,本研究基于三支决策模型,利用粒计算的信息粒化策略,改进了信息融合中的不一致性问题,并通过实验比较验证了粒计算的有效性。下一步,我们将在粒计算层次构造、粒层次间的信息交互等方面进行探讨。
编辑:罗莎 / 审核:罗莎 / 发布:罗莎